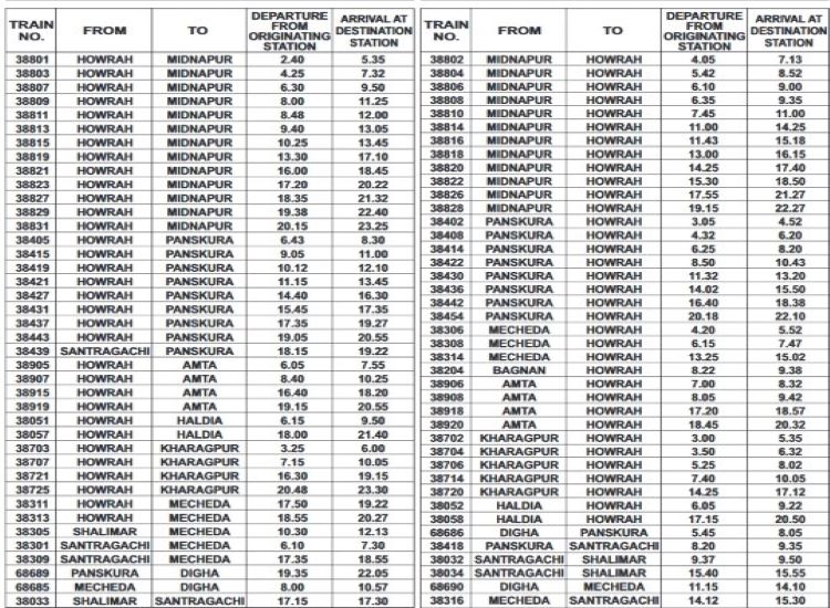
Local Train Time Table For Ladies / For complete train availability visit government information centre.

Local Train Time Table For Ladies / Suburban train services resumed in west bengal on november 11 after more than seven months.

Random Posts

  • Ma Niketan Thane
  • Pune It Companies List
  • Aamir Khan Horoscope Analysis
  • Basava Vasati Yojana Online Application
  • Life Enjoy Shayari In English
  • Mahalaxmi Ashtakam In Telugu
  • Peenaz Tyagi Salary
  • 1St Prize Sankranthi Muggulu For Competition
  • Poetry Makkah Madina Pics
  • Flower Rangoli Rangoli Images Simple And Beautiful Design
  • Kasamh Se Cast Real Name
  • Property Advertisement In Hindi
  • Online Gharpatti Payment Nashik
  • Poets In Hindi
  • Ghalib Shayari On Missing Someone
  • Popular Posts

  • Mohabbat Kya Hai
  • Sadak Suraksha Jeevan Ke Liye Hoti Hai
  • Lotus Ponds In Kerala
  • Hindi Mein Sad Quotes
  • Download Lagu Grand Escape Radwimps
  • Prashu Parshu Van Farm Goa
  • Mbbs Shayari In Hindi
  • Ignite Mp3 Alan Walker
  • Najayaz Aulad Quotes
  • Ananya Pandey Height
  • Sad Poem In Hindi Love
  • Masum Son Bölüm Izle7
  • Driving License Movie
  • Ramakrishna Paramahamsa Quotes
  • Subhash Bapu Deshmukh